[prev][index][next]

Page 4

SRWMDAgenda
Nutrien water withdrawals approved --SRWMD
9 September 2025
 
Page 4
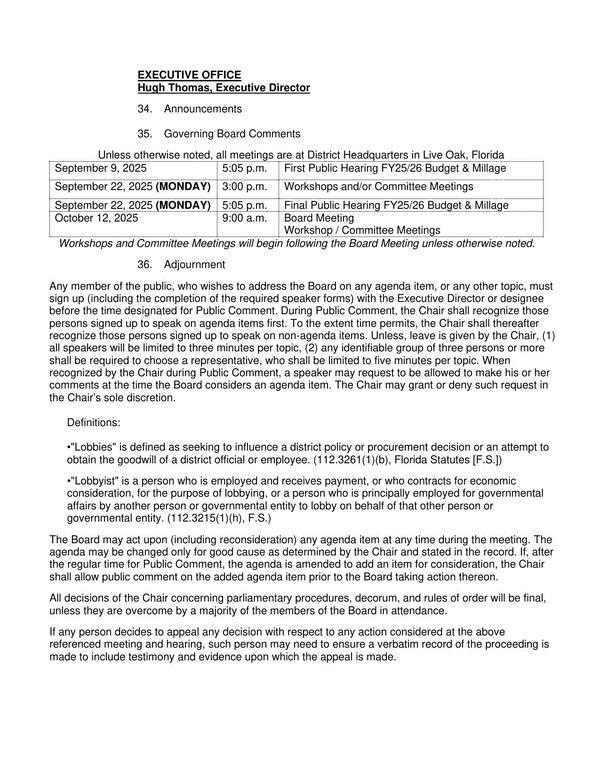
bigger PDF