[prev][index][next]

Page 3

FDOT-Test-Lab-Results-2025-08-11
Comment and CWA Request re Suncoast Parkway 2 Seg 3A --Stop the Sand Mine Committee
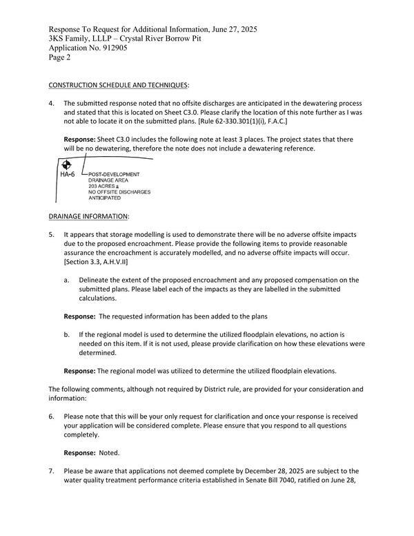
6 November 2025
 
Page 3
bigger PDF