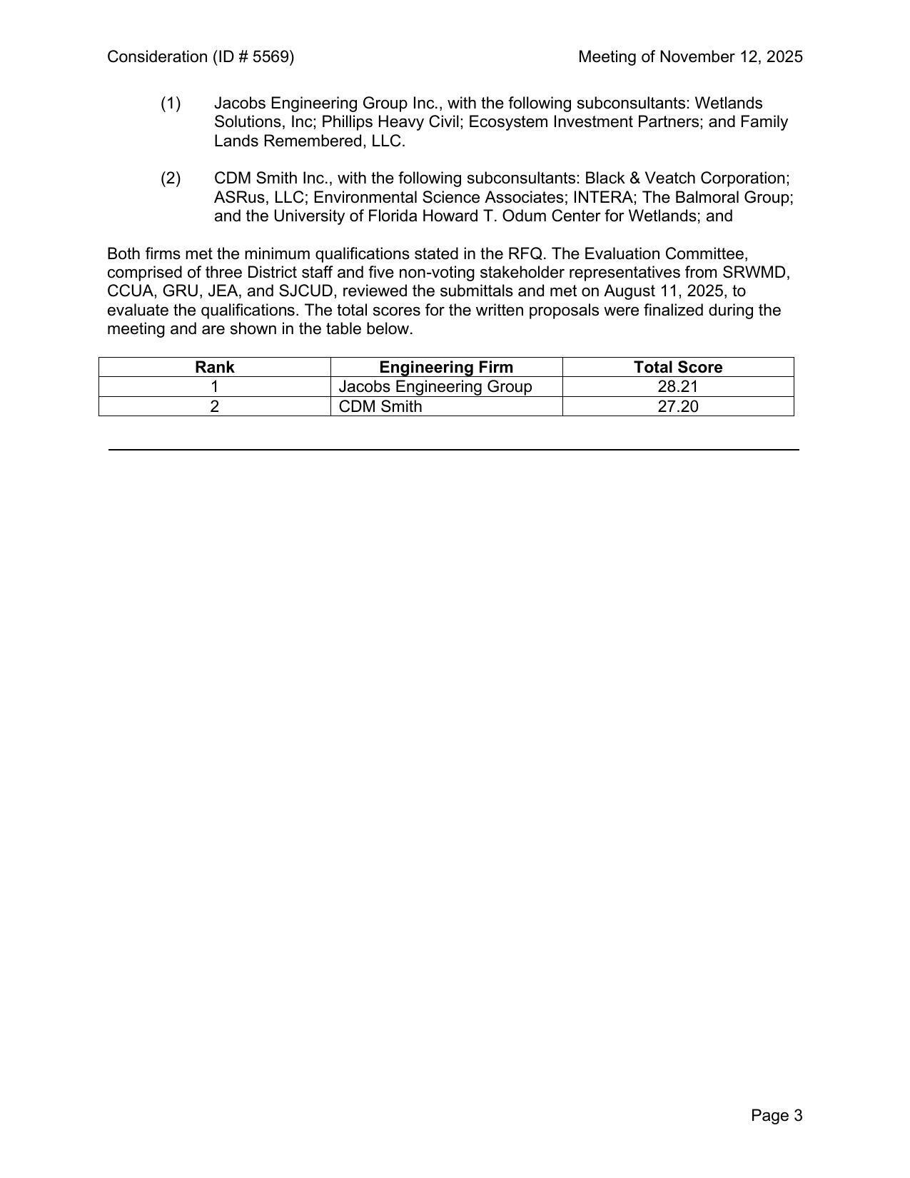
[prev][index][next]

Ranking: Jacobs Engineering Group and CDM Smith, 2025-11-12 --SJRWMD

SJRWMD-2025-11-12
SJRWMD hired a consultant to plan piping treated Jacksonville wastewater into the Suwannee River Basin (Water First North Florida)
12 November 2025
 
Ranking: Jacobs Engineering Group and CDM Smith, 2025-11-12 --SJRWMD
smaller PDF