[prev][index][next]

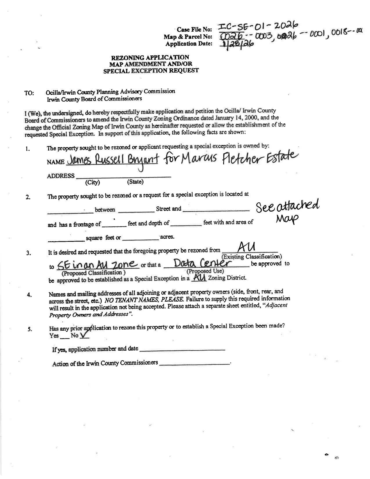
SPECIAL EXCEPTION REQUEST by James Russell Bryant for Marcus Fletcher Estate

SER
Packet: Irwin Forward Datacenter Public Hearing, Ocilla-Irwin County Planning Advisory Commission
26 February 2026
 
SPECIAL EXCEPTION REQUEST by James Russell Bryant for Marcus Fletcher Estate
smaller PDF