[prev][index][next]

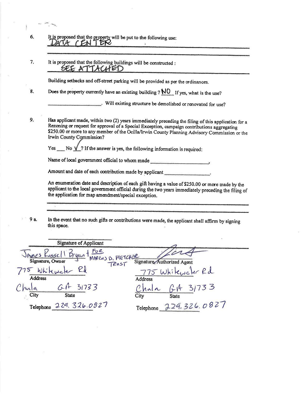
the following use: DATA CENTER

SER
Packet: Irwin Forward Datacenter Public Hearing, Ocilla-Irwin County Planning Advisory Commission
26 February 2026
 
the following use: DATA CENTER
smaller PDF