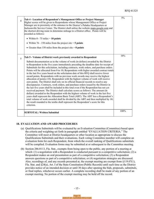
[prev][index][next]

Page 15, 2025-07-28 --SJRWMD RFQ 41325

RFQ
Water First North Florida wetland locations: unknown --SRWMD
17 December 2025
 
Page 15, 2025-07-28 --SJRWMD RFQ 41325
bigger PDF