The North Central Florida Regional Planning Council (NCFRPC) meets next Thursday, in person and online.
Copies of the meeting notice, directions, agenda, and board packet is on the WWALS website, with images below, plus an illustrative picture of a previous NCFRPC meeting at the same location.
North Central Florida Regional Planning Council, Agenda and Packet, Thursday, October 23, 2025
There’s not a lot about water, except the very last item, Regional Joint Mitigation Resiliency Project, on page 71 of the packet. It includes:
The scope of work includes the following activities.
- Future Extreme Rainfall Modeling;
- Mitigation Needs Assessment, Template and Mitigation Priority Areas and Project List;
- Small Area Mitigation Plans;
- Regional Resilience Exposure Tool;
- Interactive Best Practice Application; and
- Stakeholder Engagement.
Regional Joint Mitigation Resiliency Project
PDF
Minutes-2025-09-25
RP
Resolution for Tony Mazon, City of Newberry
PDF
Proclamation: Community Planning Month October 2025
PDF
Proclamation: Manufacturing Day October 3, 2025
PDF
Proclamation: Florida City Government Week October 20-26, 2025
PDF
HMEP
CDBG
CDBG Agreement with City of Madison
PDF
CTCSCHS
Community Transportation Coordinator Selection for Columbia Hamilton and Suwannee Counties
PDF
CTCSDGU
Community Transportation Coordinator Selection for Dixie, Gilchrist and Union Counties
PDF
TDPLCB
Transportation Disadvantaged Program Local Coordinating Board Appointment
PDF
TDPRA
PC
Ratify the appointment of Commissioner Donald Long to the Program Committee.
PDF
CSLF
Certificate of Service to Lynn Franson, 35 years
PDF
PCDL2
Duplicate: Ratify the appointment of Commissioner Donald Long to the Program Committee.
PDF
Y100
Adopt the attached resolution recognizing the lOOth Anniversary of the Town of Yankeetown.
PDF
J125
Resolution Recognizing 125th Anniversary of the Town of Jennings
PDF
A175
Adopt the attached resolution recognizing the 175th Anniversary of the City of Archer.
PDF
CR
FYB
Fiscal Year 2024-25 Amended Budget
PDF
CEDSC
Comprehensive Economic Development Strategy Committee – Annual Strategy Review
PDF
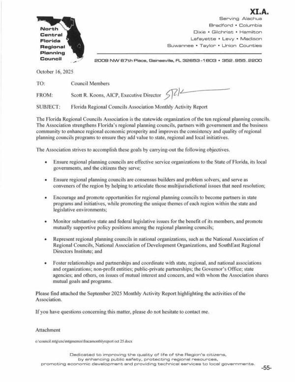
FRCAM
Florida Regional Councils Association Monthly Activity Report
PDF
MAR
MONTHLY ACTIVITY REPORT: September 2025
PDF
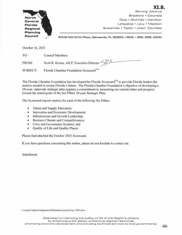
FCFS
Florida Chamber Foundation Scorecard™
PDF
LR
RJMRP
Regional Joint Mitigation Resiliency Project
PDF
P2023-01-26
Attendees, E.D. Scott R. Koons presiding @ NCFRPC, 2023-01-26 –jsq for WWALS
-jsq, John S. Quarterman, Suwannee RIVERKEEPER®
You can help with clean, swimmable, fishable, drinkable, water in the 10,000-square-mile Suwannee River Basin in Florida and Georgia by becoming a WWALS member today!
https://wwals.net/donations/
Short Link:

![[Notice]](https://www.wwals.net/pictures/2025-10-23--ncfrpc-packet/NCFRPCAgenda_10_23_25-0001.jpg)
![[Directions]](https://www.wwals.net/pictures/2025-10-23--ncfrpc-packet/small/NCFRPCAgenda_10_23_25-0002.jpg)
![[Agenda]](https://www.wwals.net/pictures/2025-10-23--ncfrpc-packet/small/NCFRPCAgenda_10_23_25-0003.jpg)
![[Public]](https://www.wwals.net/pictures/2025-10-23--ncfrpc-packet/small/NCFRPCAgenda_10_23_25-0004.jpg)
![[Page 01]](https://www.wwals.net/pictures/2025-10-23--ncfrpc-packet/NCFRPCMeetingPacket_10_23_25-0001.jpg)
![[Page 02]](https://www.wwals.net/pictures/2025-10-23--ncfrpc-packet/small/NCFRPCMeetingPacket_10_23_25-0002.jpg)
![[Page 03]](https://www.wwals.net/pictures/2025-10-23--ncfrpc-packet/small/NCFRPCMeetingPacket_10_23_25-0003.jpg)
![[Page 04]](https://www.wwals.net/pictures/2025-10-23--ncfrpc-packet/small/NCFRPCMeetingPacket_10_23_25-0004.jpg)
![[Page 05]](https://www.wwals.net/pictures/2025-10-23--ncfrpc-packet/small/NCFRPCMeetingPacket_10_23_25-0005.jpg)
![[Page 06]](https://www.wwals.net/pictures/2025-10-23--ncfrpc-packet/small/NCFRPCMeetingPacket_10_23_25-0006.jpg)
![[Page 07]](https://www.wwals.net/pictures/2025-10-23--ncfrpc-packet/small/NCFRPCMeetingPacket_10_23_25-0007.jpg)
![[Page 08]](https://www.wwals.net/pictures/2025-10-23--ncfrpc-packet/small/NCFRPCMeetingPacket_10_23_25-0008.jpg)
![[Page 09]](https://www.wwals.net/pictures/2025-10-23--ncfrpc-packet/small/NCFRPCMeetingPacket_10_23_25-0009.jpg)
![[Page 10]](https://www.wwals.net/pictures/2025-10-23--ncfrpc-packet/small/NCFRPCMeetingPacket_10_23_25-0010.jpg)
![[FDEM Agreement]](https://www.wwals.net/pictures/2025-10-23--ncfrpc-packet/NCFRPCMeetingPacket_10_23_25-0015.jpg)
![[Page 16]](https://www.wwals.net/pictures/2025-10-23--ncfrpc-packet/small/NCFRPCMeetingPacket_10_23_25-0016.jpg)
![[Page 18]](https://www.wwals.net/pictures/2025-10-23--ncfrpc-packet/small/NCFRPCMeetingPacket_10_23_25-0018.jpg)
![[Page 20]](https://www.wwals.net/pictures/2025-10-23--ncfrpc-packet/small/NCFRPCMeetingPacket_10_23_25-0020.jpg)
![[Page 22]](https://www.wwals.net/pictures/2025-10-23--ncfrpc-packet/small/NCFRPCMeetingPacket_10_23_25-0022.jpg)
![[Page 24]](https://www.wwals.net/pictures/2025-10-23--ncfrpc-packet/small/NCFRPCMeetingPacket_10_23_25-0024.jpg)
![[Page 25]](https://www.wwals.net/pictures/2025-10-23--ncfrpc-packet/NCFRPCMeetingPacket_10_23_25-0025.jpg)
![[Page 26]](https://www.wwals.net/pictures/2025-10-23--ncfrpc-packet/small/NCFRPCMeetingPacket_10_23_25-0026.jpg)
![[Page 27]](https://www.wwals.net/pictures/2025-10-23--ncfrpc-packet/small/NCFRPCMeetingPacket_10_23_25-0027.jpg)
![[Page 28]](https://www.wwals.net/pictures/2025-10-23--ncfrpc-packet/small/NCFRPCMeetingPacket_10_23_25-0028.jpg)
![[Page 30]](https://www.wwals.net/pictures/2025-10-23--ncfrpc-packet/small/NCFRPCMeetingPacket_10_23_25-0030.jpg)
![[Page 32]](https://www.wwals.net/pictures/2025-10-23--ncfrpc-packet/small/NCFRPCMeetingPacket_10_23_25-0032.jpg)
![[Page 34]](https://www.wwals.net/pictures/2025-10-23--ncfrpc-packet/small/NCFRPCMeetingPacket_10_23_25-0034.jpg)
![[Page 36]](https://www.wwals.net/pictures/2025-10-23--ncfrpc-packet/small/NCFRPCMeetingPacket_10_23_25-0036.jpg)
![[Y100]](https://www.wwals.net/pictures/2025-10-23--ncfrpc-packet/small/NCFRPCMeetingPacket_10_23_25-0037.jpg)
![[Page 38]](https://www.wwals.net/pictures/2025-10-23--ncfrpc-packet/small/NCFRPCMeetingPacket_10_23_25-0038.jpg)
![[Page 40]](https://www.wwals.net/pictures/2025-10-23--ncfrpc-packet/small/NCFRPCMeetingPacket_10_23_25-0040.jpg)
![[J125]](https://www.wwals.net/pictures/2025-10-23--ncfrpc-packet/small/NCFRPCMeetingPacket_10_23_25-0041.jpg)
![[Page 42]](https://www.wwals.net/pictures/2025-10-23--ncfrpc-packet/small/NCFRPCMeetingPacket_10_23_25-0042.jpg)
![[Page 44]](https://www.wwals.net/pictures/2025-10-23--ncfrpc-packet/small/NCFRPCMeetingPacket_10_23_25-0044.jpg)
![[A175]](https://www.wwals.net/pictures/2025-10-23--ncfrpc-packet/small/NCFRPCMeetingPacket_10_23_25-0045.jpg)
![[Page 46]](https://www.wwals.net/pictures/2025-10-23--ncfrpc-packet/small/NCFRPCMeetingPacket_10_23_25-0046.jpg)
![[Chair's Report]](https://www.wwals.net/pictures/2025-10-23--ncfrpc-packet/NCFRPCMeetingPacket_10_23_25-0047.jpg)
![[Page 48]](https://www.wwals.net/pictures/2025-10-23--ncfrpc-packet/small/NCFRPCMeetingPacket_10_23_25-0048.jpg)
![[Page 50]](https://www.wwals.net/pictures/2025-10-23--ncfrpc-packet/small/NCFRPCMeetingPacket_10_23_25-0050.jpg)
![[Page 52]](https://www.wwals.net/pictures/2025-10-23--ncfrpc-packet/small/NCFRPCMeetingPacket_10_23_25-0052.jpg)
![[CEDSC]](https://www.wwals.net/pictures/2025-10-23--ncfrpc-packet/small/NCFRPCMeetingPacket_10_23_25-0053.jpg)
![[Page 54]](https://www.wwals.net/pictures/2025-10-23--ncfrpc-packet/small/NCFRPCMeetingPacket_10_23_25-0054.jpg)
![[Page 56]](https://www.wwals.net/pictures/2025-10-23--ncfrpc-packet/small/NCFRPCMeetingPacket_10_23_25-0056.jpg)
![[Page 58]](https://www.wwals.net/pictures/2025-10-23--ncfrpc-packet/small/NCFRPCMeetingPacket_10_23_25-0058.jpg)
![[Page 60]](https://www.wwals.net/pictures/2025-10-23--ncfrpc-packet/small/NCFRPCMeetingPacket_10_23_25-0060.jpg)
![[Page 61]](https://www.wwals.net/pictures/2025-10-23--ncfrpc-packet/small/NCFRPCMeetingPacket_10_23_25-0061.jpg)
![[Page 62]](https://www.wwals.net/pictures/2025-10-23--ncfrpc-packet/small/NCFRPCMeetingPacket_10_23_25-0062.jpg)
![[Page 63]](https://www.wwals.net/pictures/2025-10-23--ncfrpc-packet/small/NCFRPCMeetingPacket_10_23_25-0063.jpg)
![[Page 64]](https://www.wwals.net/pictures/2025-10-23--ncfrpc-packet/small/NCFRPCMeetingPacket_10_23_25-0064.jpg)
![[Page 65]](https://www.wwals.net/pictures/2025-10-23--ncfrpc-packet/small/NCFRPCMeetingPacket_10_23_25-0065.jpg)
![[Page 66]](https://www.wwals.net/pictures/2025-10-23--ncfrpc-packet/small/NCFRPCMeetingPacket_10_23_25-0066.jpg)
![[Page 67]](https://www.wwals.net/pictures/2025-10-23--ncfrpc-packet/small/NCFRPCMeetingPacket_10_23_25-0067.jpg)
![[Page 68]](https://www.wwals.net/pictures/2025-10-23--ncfrpc-packet/small/NCFRPCMeetingPacket_10_23_25-0068.jpg)
![[Legislative Report]](https://www.wwals.net/pictures/2025-10-23--ncfrpc-packet/NCFRPCMeetingPacket_10_23_25-0069.jpg)
![[Page 70]](https://www.wwals.net/pictures/2025-10-23--ncfrpc-packet/small/NCFRPCMeetingPacket_10_23_25-0070.jpg)
![[Page 72]](https://www.wwals.net/pictures/2025-10-23--ncfrpc-packet/small/NCFRPCMeetingPacket_10_23_25-0072.jpg)
Pingback: Too much E. coli at the Watergoat, Sugar Creek 2025-10-10, Problematical Withlacoochee River 2025-10-16 | WWALS Watershed Coalition (WWALS) is Suwannee RIVERKEEPER®
Pingback: Filthy Sugar Creek 2025-10-17 | WWALS Watershed Coalition (WWALS) is Suwannee RIVERKEEPER®