This is what I sent to Irwin County before their Public Hearing on a draft datacenter ordinance.
As you may recall, the datacenter proposed near Irwinville and the Alapaha River was withdrawn by applicant at the Irwin County Commission meeting on March 2, so there was nothing for the Commissioners to vote on at that time. But they are prudently working up a datacenter ordinance.
For more about datacenters, see:
https://wwals.net/issues/datacenters/
Suggested additional sections for Irwin County datacenter ordinance, by WWALS 2026-03-17
Dear Irwin County,
Please permit me to compliment you on the draft data center ordinance.
I especially like that it permits only closed loop cooling systems.May I suggest that it could benefit by some additional sections, perhaps like those in the attached model ordinance.
Specifically sections like those on:
- Submittal requirements applicable to all new applications.
- Community Meetings
- Annual Reporting
- Other information regarding community impact of the high data center, including:
- Decommissioning
Meanwhile, you are probably already aware of SB 447, which would severely constrain or curtail the ability of local governments to make land use decisions.
For the rivers and the aquifer,
John S. Quarterman,
Suwannee RIVERKEEPER® and Executive Director
229-242-0102
contact@suwanneeriverkeeper.org
www.suwanneeriverkeeper.org,
WWALS Watershed Coalition, Inc.
850-290-2350
wwalswatershed@gmail.com
www.wwals.net
PO Box 88, Hahira, GA 31632
WWALS is the WATERKEEPER® Alliance member for the Suwannee River Basin and Estuary.
WWALS is a member of Georgia River Network, Georgia Water Coalition, Waterkeepers Florida, Floridians Against Dirty Energy, and national River Network.
You can help with clean, swimmable, fishable, drinkable, water in the 10,000-square-mile Suwannee River Basin in Florida and Georgia by becoming a WWALS member today!
https://wwals.net/donations/
The draft Irwin County datacenter ordinance and the model draft ordinance are both on the WWALS website.
The later is owed to Amy Sharma of ScienceforGeorgia who brought it to the Datacenters meeting, Lowndes County, GA 2026-02-17 and sent the electronic copy to me afterwards.
Images of each page of each ordinance are below.
DO JBBG Draft
AN AMENDMENT TO THE ORDINANCES OF IRWIN COUNTY, GEORGIA PERTAINING TO THE REGULATION OF DATA CENTERS WITHIN THE COUNTY.
PDF
Definitions and Applicability
PDF
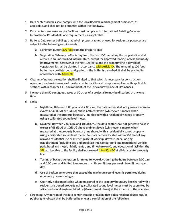
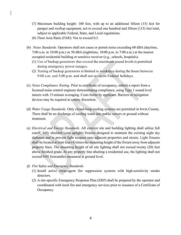
(d) Water Usage Standards. Only closed-loop cooling systems are permitted in Irwin County. There shall be no discharge of cooling water into public sewers or ground without treatment.
PDF
SECTION 5. The ordinance shall be effective immediately upon its adoption by the Irwin County Board of Commissioners.
PDF
DDCO
ARTICLE XX. High Technology Data Center Facilities.
PDF
Section XX. Submittal requirements applicable to all new applications.
PDF
7. Water consumption plan: The plan will 8. Water conservation and sustainability plan: The plan
PDF
Section XX. Community Meetings
PDF
Section XX. Annual Reporting
PDF
ADD
1. Decommissioning Bond Requirement:
PDF
E. Reporting Requirements:
PDF
F. Compliance and Enforcement:
PDF
Short Link:

![[Standards]](https://www.wwals.net/pictures/2026-03-17--wwals-irwin-county-datacenter-ordinance/Data-Center-Ordinance-JBBG-Draft-0003.jpg)
![[Violations]](https://www.wwals.net/pictures/2026-03-17--wwals-irwin-county-datacenter-ordinance/Data-Center-Ordinance-JBBG-Draft-0005.jpg)
![[6. Noise]](https://www.wwals.net/pictures/2026-03-17--wwals-irwin-county-datacenter-ordinance/Draft-Data-Center-Ordiance_v0pt1-0005.jpg)
![[]](https://www.wwals.net/pictures/2026-03-17--wwals-irwin-county-datacenter-ordinance/Draft-Data-Center-Ordiance_v0pt1-0007.jpg)
![[Decommissioning]](https://www.wwals.net/pictures/2026-03-17--wwals-irwin-county-datacenter-ordinance/Draft-Data-Center-Ordiance_v0pt1-0008.jpg)