This draft update to the wastewater permit for the Tifton Regional Wastewater Treatment Complex (TRWTC) tightens some pollution limits, adds others, and adds some testing and reporting.
However, I don’t see any thing about PFAS or other forever chemicals.
What do you see that needs comment to the Georgia Environmental Protection Division (GA-EPD)?
Draft reissuance of Tifton wastewater permit, NPDES Permit No. GA0048470, Outflow: New River –GA-EPD
The GA-EPD notice about this reissuance arrived via email today, with the document online here with a copy on the WWALS website.
Images of each page are below.
I hadn’t really noticed this biosolids sludge farm before:
CITY OF TIFTON BIOSOLIDS FARM LOCATION MAP
PDF
There are many constraints on what can come out of the main TRWTC outfall into the New River. That’s west past TRWTC beyond the end of Old Brookfield Road, and slightly upstream. Near where Queen Bee Creek 03110203000652 enters the New River.
B.1. EFFLUENT LIMITATIONS AND MONITORING REQUIREMENTS
PDF
-jsq, John S. Quarterman, Suwannee RIVERKEEPER®
You can help with clean, swimmable, fishable, drinkable, water in the 10,000-square-mile Suwannee River Basin in Florida and Georgia by becoming a WWALS member today!
https://wwals.net/donations/
NPDES GA0048470 New River WPCP
This is a reissuance of the NPDES permit for the New River WPCP. Up to 8.0 MGD (monthly average) of treated domestic wastewater is discharged to New River in the Suwannee River Basin.
PDF
Final Permit Determinations and Public Comments:
PDF
Before reissuing the permit, we require that you publish the attached public notice once in one or more newspapers of general circulation in Tift County.
PDF
PN
RI
Reissuance with substantial modifications from previous permit; Requires EPA review (Major POTW/non-POTW and/or POTW with an approved industrial pre-treatment program and/or Facility for which the permit includes pollutant trading)
PDF
1.4 Location and Description of the Discharge (as reported by applicant) Outfall # Latitude (°) Longitude (°) Receiving Waterbody 001 31.444721 -83.478527 New River
PDF
3. WATER QUALITY STANDARDS & RECEIVING WATERBODY INFORMATION
PDF
3.4 Total Maximum Daily Loads (TMDLs)
PDF
4. PERMIT CONDITIONS AND EFFLUENT LIMITATIONS
PDF
40 CFR Part §122.44(a)(1) requires that NPDES permits include applicable technology-based
PDF
4.3 Whole Effluent Toxicity (WET)
PDF
4.4 Conventional Pollutants
PDF
4.5 Nonconventional Pollutants
PDF
4.6 Toxics & Manmade Organic Compounds
PDF
4.7 Calculations for Effluent Limits
PDF
4.8 Comparison & Summary of Water Quality vs. Technology Based Effluent Limits
PDF
5. OTHER PERMIT REQUIREMENTS AND CONSIDERATIONS
PDF
7 REQUESTED VARIANCES OR ALTERNATIVES TO REQUIRED STANDARDS; 8 PERMIT EXPIRATION; 9 PROCEDURES FOR THE FORMULATION OF FINAL DETERMINATIONS
PDF
AppA
Appendix A: Waste Load Allocation (WLA)
PDF
AppB
Appendix B: Effluent Limit Calculations
PDF
Refer to Section 4.0 of the Fact Sheet for conversion factors and equations used.
PDF
AppC
Appendix C: Ammonia Toxicity Analysis
PDF
AppD
Appendix D: Reasonable Potential Analysis (RPA)
PDF
AppE
Appendix E: Percent Minimum Significant Difference (PMSD)
PDF
AppF
Appendix F: Sludge Application Site Locations
PDF
CITY OF TIFTON BIOSOLIDS FARM LOCATION MAP
PDF
DP
P1
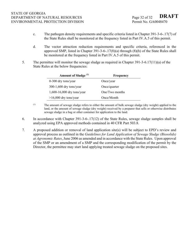
Part I A.1. SLUDGE DISPOSAL REQUIREMENTS
PDF
A.4. EFFLUENT TOXICITY AND BIOMONITORING REQUIREMENTS
PDF
B.1. EFFLUENT LIMITATIONS AND MONITORING REQUIREMENTS
PDF
limitations in Monitoring Requirements
PDF
B.2. EFFLUENT LIMITATIONS AND MONITORING REQUIREMENTS
PDF
limitations in Monitoring Requirements
PDF
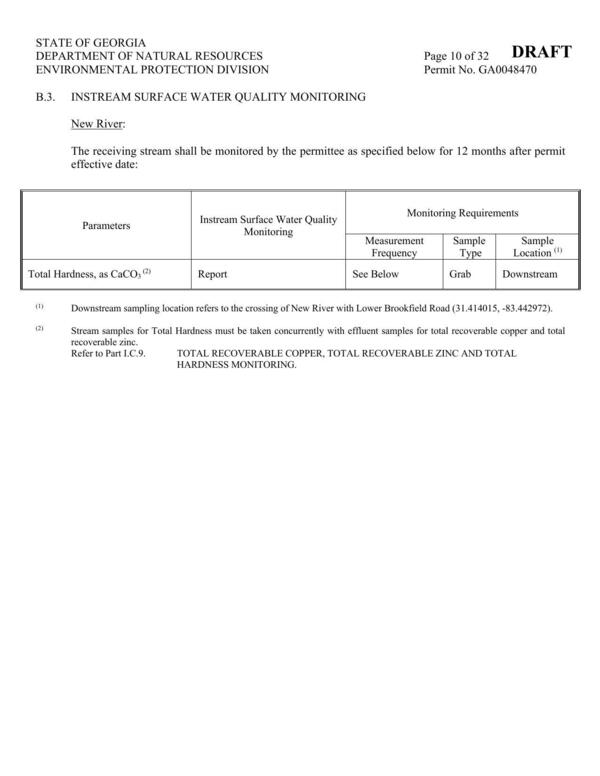
B3. INSTREAM SURFACE WATER QUALITY MONITORING
PDF
C. MONITORING AND REPORTING
PDF
C.8. WATERSHED PROTECTION PLAN
PDF
D.5. SIGNATORY REQUIREMENTS
PDF
P2
PART II A. MANAGEMENT REQUIREMENTS
PDF
A.6. OPERATOR CERTIFICATION REQUIREMENTS
PDF
A.11. NOTICE CONCERNING ENDANGERING WATERS OF THE STATE
PDF
P3
PART III A. APPROVED INDUSTRIAL PRETREATMENT PROGRAM FOR PUBLICLY OWNED TREATMENT WORKS (POTWs)
PDF
B. APPROVED PRETREATMENT PROGRAM ANNUAL REPORT
PDF
D. REQUIREMENTS FOR EFFLUENT LIMITATIONS ON POLLUTANTS ATTRIBUTABLE TO
PDF
P4
PART IV APPROVED SLUDGE MANAGEMENT PLAN
PDF
Short Link:

![[PUBLIC NOTICE]](https://www.wwals.net/pictures/2018-08-30--permits/tifton/2025-11-30--tifton-new-river-reissuance-ga0048470/GA0048470--New-River-WPCP--Draft-Permit--2025--City.pdf-0004.jpg)
![[2. APPLICABLE REGULATIONS]](https://www.wwals.net/pictures/2018-08-30--permits/tifton/2025-11-30--tifton-new-river-reissuance-ga0048470/GA0048470--New-River-WPCP--Draft-Permit--2025--City.pdf-0007.jpg)
![[Page 9]](https://www.wwals.net/pictures/2018-08-30--permits/tifton/2025-11-30--tifton-new-river-reissuance-ga0048470/GA0048470--New-River-WPCP--Draft-Permit--2025--City.pdf-0009.jpg)
![[Page 13]](https://www.wwals.net/pictures/2018-08-30--permits/tifton/2025-11-30--tifton-new-river-reissuance-ga0048470/GA0048470--New-River-WPCP--Draft-Permit--2025--City.pdf-0013.jpg)
![[Page 15]](https://www.wwals.net/pictures/2018-08-30--permits/tifton/2025-11-30--tifton-new-river-reissuance-ga0048470/GA0048470--New-River-WPCP--Draft-Permit--2025--City.pdf-0015.jpg)
![[Page 17]](https://www.wwals.net/pictures/2018-08-30--permits/tifton/2025-11-30--tifton-new-river-reissuance-ga0048470/GA0048470--New-River-WPCP--Draft-Permit--2025--City.pdf-0017.jpg)
![[Page 19]](https://www.wwals.net/pictures/2018-08-30--permits/tifton/2025-11-30--tifton-new-river-reissuance-ga0048470/GA0048470--New-River-WPCP--Draft-Permit--2025--City.pdf-0019.jpg)
![[Page 20]](https://www.wwals.net/pictures/2018-08-30--permits/tifton/2025-11-30--tifton-new-river-reissuance-ga0048470/GA0048470--New-River-WPCP--Draft-Permit--2025--City.pdf-0020.jpg)
![[Page 22]](https://www.wwals.net/pictures/2018-08-30--permits/tifton/2025-11-30--tifton-new-river-reissuance-ga0048470/GA0048470--New-River-WPCP--Draft-Permit--2025--City.pdf-0022.jpg)
![[Page 24]](https://www.wwals.net/pictures/2018-08-30--permits/tifton/2025-11-30--tifton-new-river-reissuance-ga0048470/GA0048470--New-River-WPCP--Draft-Permit--2025--City.pdf-0024.jpg)
![[Page 25]](https://www.wwals.net/pictures/2018-08-30--permits/tifton/2025-11-30--tifton-new-river-reissuance-ga0048470/GA0048470--New-River-WPCP--Draft-Permit--2025--City.pdf-0025.jpg)
![[Page 26]](https://www.wwals.net/pictures/2018-08-30--permits/tifton/2025-11-30--tifton-new-river-reissuance-ga0048470/GA0048470--New-River-WPCP--Draft-Permit--2025--City.pdf-0026.jpg)
![[6. REPORTING]](https://www.wwals.net/pictures/2018-08-30--permits/tifton/2025-11-30--tifton-new-river-reissuance-ga0048470/GA0048470--New-River-WPCP--Draft-Permit--2025--City.pdf-0029.jpg)
![[Page 31]](https://www.wwals.net/pictures/2018-08-30--permits/tifton/2025-11-30--tifton-new-river-reissuance-ga0048470/GA0048470--New-River-WPCP--Draft-Permit--2025--City.pdf-0031.jpg)
![[Wasteload Allocation Form]](https://www.wwals.net/pictures/2018-08-30--permits/tifton/2025-11-30--tifton-new-river-reissuance-ga0048470/GA0048470--New-River-WPCP--Draft-Permit--2025--City.pdf-0033.jpg)
![[Ammonia Toxicity Analysis]](https://www.wwals.net/pictures/2018-08-30--permits/tifton/2025-11-30--tifton-new-river-reissuance-ga0048470/GA0048470--New-River-WPCP--Draft-Permit--2025--City.pdf-0037.jpg)
![[Ammonia Toxicity Analysis]](https://www.wwals.net/pictures/2018-08-30--permits/tifton/2025-11-30--tifton-new-river-reissuance-ga0048470/GA0048470--New-River-WPCP--Draft-Permit--2025--City.pdf-0038.jpg)
![[Ammonia Toxicity Analysis]](https://www.wwals.net/pictures/2018-08-30--permits/tifton/2025-11-30--tifton-new-river-reissuance-ga0048470/GA0048470--New-River-WPCP--Draft-Permit--2025--City.pdf-0039.jpg)
![[Ammonia Toxicity Analysis]](https://www.wwals.net/pictures/2018-08-30--permits/tifton/2025-11-30--tifton-new-river-reissuance-ga0048470/GA0048470--New-River-WPCP--Draft-Permit--2025--City.pdf-0040.jpg)
![[Page 42]](https://www.wwals.net/pictures/2018-08-30--permits/tifton/2025-11-30--tifton-new-river-reissuance-ga0048470/GA0048470--New-River-WPCP--Draft-Permit--2025--City.pdf-0042.jpg)
![[Page 43]](https://www.wwals.net/pictures/2018-08-30--permits/tifton/2025-11-30--tifton-new-river-reissuance-ga0048470/GA0048470--New-River-WPCP--Draft-Permit--2025--City.pdf-0043.jpg)
![[Page 44]](https://www.wwals.net/pictures/2018-08-30--permits/tifton/2025-11-30--tifton-new-river-reissuance-ga0048470/GA0048470--New-River-WPCP--Draft-Permit--2025--City.pdf-0044.jpg)
![[Page 45]](https://www.wwals.net/pictures/2018-08-30--permits/tifton/2025-11-30--tifton-new-river-reissuance-ga0048470/GA0048470--New-River-WPCP--Draft-Permit--2025--City.pdf-0045.jpg)
![[Page 46]](https://www.wwals.net/pictures/2018-08-30--permits/tifton/2025-11-30--tifton-new-river-reissuance-ga0048470/GA0048470--New-River-WPCP--Draft-Permit--2025--City.pdf-0046.jpg)
![[Page 48]](https://www.wwals.net/pictures/2018-08-30--permits/tifton/2025-11-30--tifton-new-river-reissuance-ga0048470/GA0048470--New-River-WPCP--Draft-Permit--2025--City.pdf-0048.jpg)
![[Draft Permit]](https://www.wwals.net/pictures/2018-08-30--permits/tifton/2025-11-30--tifton-new-river-reissuance-ga0048470/GA0048470--New-River-WPCP--Draft-Permit--2025--City.pdf-0051.jpg)
![[Page 56]](https://www.wwals.net/pictures/2018-08-30--permits/tifton/2025-11-30--tifton-new-river-reissuance-ga0048470/GA0048470--New-River-WPCP--Draft-Permit--2025--City.pdf-0056.jpg)
![[Page 59]](https://www.wwals.net/pictures/2018-08-30--permits/tifton/2025-11-30--tifton-new-river-reissuance-ga0048470/GA0048470--New-River-WPCP--Draft-Permit--2025--City.pdf-0059.jpg)
![[Page 62]](https://www.wwals.net/pictures/2018-08-30--permits/tifton/2025-11-30--tifton-new-river-reissuance-ga0048470/GA0048470--New-River-WPCP--Draft-Permit--2025--City.pdf-0062.jpg)
![[Page 64]](https://www.wwals.net/pictures/2018-08-30--permits/tifton/2025-11-30--tifton-new-river-reissuance-ga0048470/GA0048470--New-River-WPCP--Draft-Permit--2025--City.pdf-0064.jpg)
![[Page 65]](https://www.wwals.net/pictures/2018-08-30--permits/tifton/2025-11-30--tifton-new-river-reissuance-ga0048470/GA0048470--New-River-WPCP--Draft-Permit--2025--City.pdf-0065.jpg)
![[Page 66]](https://www.wwals.net/pictures/2018-08-30--permits/tifton/2025-11-30--tifton-new-river-reissuance-ga0048470/GA0048470--New-River-WPCP--Draft-Permit--2025--City.pdf-0066.jpg)
![[Page 67]](https://www.wwals.net/pictures/2018-08-30--permits/tifton/2025-11-30--tifton-new-river-reissuance-ga0048470/GA0048470--New-River-WPCP--Draft-Permit--2025--City.pdf-0067.jpg)
![[D. REPORTING REQUIREMENTS]](https://www.wwals.net/pictures/2018-08-30--permits/tifton/2025-11-30--tifton-new-river-reissuance-ga0048470/GA0048470--New-River-WPCP--Draft-Permit--2025--City.pdf-0068.jpg)
![[Page 70]](https://www.wwals.net/pictures/2018-08-30--permits/tifton/2025-11-30--tifton-new-river-reissuance-ga0048470/GA0048470--New-River-WPCP--Draft-Permit--2025--City.pdf-0070.jpg)
![[Page 74]](https://www.wwals.net/pictures/2018-08-30--permits/tifton/2025-11-30--tifton-new-river-reissuance-ga0048470/GA0048470--New-River-WPCP--Draft-Permit--2025--City.pdf-0074.jpg)
![[B. RESPONSIBILITIES]](https://www.wwals.net/pictures/2018-08-30--permits/tifton/2025-11-30--tifton-new-river-reissuance-ga0048470/GA0048470--New-River-WPCP--Draft-Permit--2025--City.pdf-0075.jpg)
![[Page 76]](https://www.wwals.net/pictures/2018-08-30--permits/tifton/2025-11-30--tifton-new-river-reissuance-ga0048470/GA0048470--New-River-WPCP--Draft-Permit--2025--City.pdf-0076.jpg)
![[Page 77]](https://www.wwals.net/pictures/2018-08-30--permits/tifton/2025-11-30--tifton-new-river-reissuance-ga0048470/GA0048470--New-River-WPCP--Draft-Permit--2025--City.pdf-0077.jpg)
![[Page 82]](https://www.wwals.net/pictures/2018-08-30--permits/tifton/2025-11-30--tifton-new-river-reissuance-ga0048470/GA0048470--New-River-WPCP--Draft-Permit--2025--City.pdf-0082.jpg)
![[Page 83]](https://www.wwals.net/pictures/2018-08-30--permits/tifton/2025-11-30--tifton-new-river-reissuance-ga0048470/GA0048470--New-River-WPCP--Draft-Permit--2025--City.pdf-0083.jpg)