It looks like the Irwin County Commission added a few things about water, power, and enforcement to their draft datacenter ordinance before they passed it.
The final version, received today in response to a WWALS open records request, is on the WWALS website.
For comparison, a copy of the original draft is here:
Do you see any other differences?
For more about datacenters, see:
https://wwals.net/issues/datacenters
Signed Irwin County Datacenter Ordinance 2026-04-06, Changes to Water, Energy, Enforcement
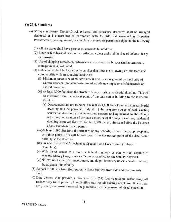
Subclause (3) is new on page 4:
(d) Water Usage Standards.
(1) Only closed-loop cooling systems are permitted in Irwin County.
(2) There shall be no discharge of cooling water into public sewers or ground without treatment.
(3) Before a certificate of occupancy is provided, all data centers shall submit a hydrogeologic study conducted by an independent third-party engineering firm showing estimated annual water usage. Such report should compare estimated water usage to the prior owner/user of the subject property or of that of similar surrounding areas.
Also on page 4, this subclause (1) is new:
(e) Electrical and Energy Standards. All exterior site and building lighting shall utilize full cutoff, fully shielded (zero uplight) fixtures designed to maintain the existing night sky darkness and to prevent light trespass onto adjacent properties and streets. Light fixtures shall be located at least four (4) times the mounting height of the fixture away from adjacent property lines. The mounting height of all site lighting shall not exceed twenty (20) feet above finished grade. At any property line abutting a residential use, the lighting shall not exceed 0.05 footcandles measured at ground level.
(1) Before a certificate of occupancy is provided, the Applicant or Data center owner shall provide a letter of intent to serve the proposed project from the applicable utility provider(s), confirming that preliminary coordination has occurred and that service to the proposed project is feasible subject to final engineering.
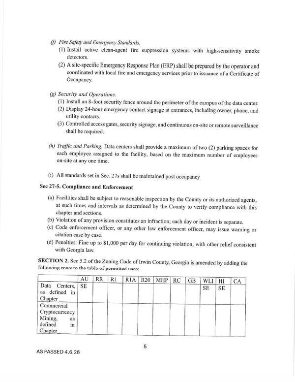
On page 5, Sec ____ Violations has become:
Sec 27-5. Compliance and Enforcement
(a) Facilities shall be subject to reasonable inspection by the County or its authorized agents, at such times and intervals as determined by the County to verify compliance with this chapter and sections.
(b) Violation of any provision constitutes an infraction; each day or incident is separate.
(c) Code enforcement officer, or any other law enforcement officer, may issue warning or citation case by case.
(d) Penalties: Fine up to $1,000 per day for continuing violation, with other relief consistent with Georgia law.
-jsq, John S. Quarterman, Suwannee RIVERKEEPER®
You can help with clean, swimmable, fishable, drinkable, water in the 10,000-square-mile Suwannee River Basin in Florida and Georgia by becoming a WWALS member today!
https://wwals.net/donations/
Ordinance No. 1 of 2026; Sec. 27-1. Purpose
PDF
Sec. 27-2. Definitions and Sec. 27-3. Applicability
PDF
(d) Water Usage Standards and (e) Electrical and Energy Standards
PDF
Sec. 27-5. Compliance and Enforcement
PDF
PASSED, ADOPTED AND ORDAINED THIS 6TH DAY OF APRIL, 2026.
PDF
Short Link:

![[Sec. 27-4. Standards]](https://www.wwals.net/pictures/2026-04-06--irwin-county-datacenter-ordinance-signed/Data-Center-Ordinance-Final-0003.jpg)
Pingback: Public Hearing about Datacenter Ordinance –Irwin County Board of Commissioners 2026-03-17 | WWALS Watershed Coalition (WWALS) is Suwannee RIVERKEEPER®
Pingback: Videos: Public Hearing about Datacenter Ordinance –Irwin County Board of Commissioners 2026-03-17 | WWALS Watershed Coalition (WWALS) is Suwannee RIVERKEEPER®