Update 2026-04-14: The promoters bear the burden of proof about WFNF –WWALS to SRWMD 2026-04-13.
Update 2026-04-13: 10 AM that same day, three hours drive away in Palatka: Packet: Governing Board –SJRWMD 2026-04-14.
SRWMD is avoiding going to a Phase III Water Shortage Order by modifying their Phase II Order of last month.
Packet: with Public Hearing on Modified Phase II Water Shortage Ordinance @ SRWMD 2026-04-14
The new Order does add some mandatory requirements, on agricultural uses, golf course irrigation, and utilities.
There is nothing on the agenda directly about Water First North Florida (WFNF), the SRWMD and SJRWMD plan to pipe treated wastewater from Jacksonville into the Suwannee Basin to rehydrate wetlands and raise levels and flows in rivers and springs, and also so Jacksonville’s water utility JEA can meet the letter of 2021 SB 64 that says it can’t keep outflowing treated wastewater into the St. Johns River starting in 2032. But this Modified Phase II Order is related.
For much more about WFNF, including the letters and resolutions against it by towns, counties, and regional entities, as well as who you can contact and a petition, see:
Be on time by 9 AM, Tuesday, April 14, 2026, at SRWMD HQ, 9225 County Road 49 Live Oak, FL, United States, Florida 32060, to comment at this meeting of the Suwannee River Water Management District (SRWMD).
While the agenda says there will be a Public Hearing about this Order, nothing in the agenda says that will call on members of the public to speak on that agenda item.
WATER RESOURCES
Amy Brown, Deputy Executive Director
- Water Resources Division Updates
- Public Hearing for Approval of Order Number 26-003, Modified Phase II Water Shortage
So best to follow the letter of the SRWMD policy in the agenda (see below) and fill in a comment card saying you want to speak on item number 10.
If you can’t go, you can watch the meeting live or later on the District’s YouTube channel:
https://www.youtube.com/@SRWMD
Somebody may also want to examine the agenda of the Audit Committee Meeting, which will happen “Following Board Meeting”. Maybe you can glean some clues as to what the District has spent on WFNF thus far.
https://www.mysuwanneeriver.com/ArchiveCenter/ViewFile/Item/1744
Also, given the Exceptional Drought that covers almost all of the Suwannee River Basin,
Map: U.S. Southeast, 2026-04-07
—
U.S. Drought Monitor
Why is SRWMD still issuing Well Use Permits (WUPs)? And on this pie chart, why are Public Supply and Commercial lumped together? Who are the commercial enterprises that got WUPs and what are they using that water for?
Water Well Permits Issued – February 2026
PDF
Here are some excerpts from the policies in the agenda about public comment.
Any member of the public who desires to address the Board at a Board Meeting must appear in person at the Board Meeting and sign up (including the completion of the required speaker forms showing any agenda item(s) on which the speaker wishes to comment) with District staff before the time designated for Public Comment on the agenda. During Public Comment, the chair shall recognize those persons signed up to speak on agenda items first. To the extent time permits, the chair may thereafter recognize those persons signed up to speak on non-agenda items. Provided that if, after the regular time for Public Comment, the agenda is amended to add an item for consideration, the chair shall allow public comment on the added agenda item prior to the Board taking action thereon. Unless leave is given by the chair, (1) all speakers will be limited to a maximum of three minutes per topic, (2) any identifiable group of three persons or more shall be required to choose a representative, who shall be limited to a maximum of five minutes per topic. Speakers will have an option to waive in support or opposition of a position, in lieu of speaking.
When recognized by the chair during Public Comment, a speaker may request to be allowed to make his or her comments at the time the Board considers an agenda item. The chair may grant or deny such request in the Chair’s sole discretion.
…
Any speaker who wishes to provide supporting materials for the members of the Board at a Board Meeting must provide such materials in the form of a standard-sized paper handout. If the speaker brings handouts, the speaker must have 11 copies ready and give them to the District team when the speaker signs up to speak.
Persons who wish to make a written statement must deliver the statement to District Headquarters or email the written statement to writtencomments@srwmd.org. The written statement must include the submitter’s name. In addition, the submitter must indicate which specific agenda item their statement addresses, or if the statement is for general comment. The written statement must be delivered or emailed at least two business days prior to the day of the Board Meeting. Written statements will be provided to the members of the Board prior to the applicable Board Meeting.
…
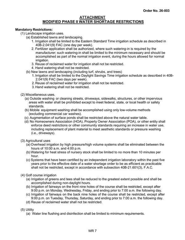
This is the first page of the Order, which seems to me to contain the most significant differences from the March Order.
ATTACHMENT
MODIFIED PHASE II WATER SHORTAGE RESTRICTIONSMandatory Restrictions:
- Landscape irrigation uses.
- Established lawns and landscaping.
- Irrigation shall be limited to the Eastern Standard Time irrigation schedule as described in 40B-2.041(9) FAC (one day per week).
- Fertilizer application shall be authorized, where such watering-in is required by the manufacturer; such watering-in shall be limited to the minimum necessary and should be accomplished as part of the normal irrigation event, during the hours allowed for normal irrigation.
- Reuse of reclaimed water for irrigation shall not be restricted.
- Hand watering shall not be restricted.
- New lawns and landscaping (including turf, shrubs, and trees)
- Irrigation shall be limited to the Daylight Savings Time irrigation schedule as described in 40B- 2.041(9) FAC (two days per week).
- Reuse of reclaimed water for irrigation shall not be restricted.
- Hand watering shall not be restricted.
- Miscellaneous uses.
- Outside washing or cleaning streets, driveways, sidewalks, structures, or other impervious areas with water shall be prohibited except to meet federal, state, or local health or safety standards.
- Mobile equipment washing shall be accomplished using only low-volume methods (excluding commercial car washes).
- Augmentation of surface ponds shall be restricted above the natural water table.
- No Homeowners Association (HOA), Property Owner Association (POA), or other entity shall enforce deed restrictions or other community standards requiring an increase in water use, including replacement of plant material to meet aesthetic standards or pressure washing (i.e., driveways).
- Agricultural uses
- Overhead irrigation by high pressure/high volume systems shall be eliminated between the hours of 10:00 a.m. and 4:00 p.m.
- Watering for heat stress of nursery stock shall be limited to no more than 10 minutes per hour.
- Systems that have been certified by an independent irrigation laboratory within the past five years prior to the effective date of a water shortage order to be as efficient as practicable shall not be restricted, except in accordance with subsection 40B-21.601(3), F.A.C.
- Golf course irrigation
- Irrigation of greens and tees shall be reduced to the greatest extent possible and shall be accomplished during non-daylight hours.
- Irrigation of fairways on the front nine holes of the course shall be restricted, except after 9:00 p.m. on Monday, Wednesday, Friday, and ending prior to 7:00 a.m. the following day.
- Irrigation of fairways on the back nine holes of the course shall be restricted, except after 9:00 p.m. on Tuesday, Thursday, Saturday, and ending prior to 7:00 a.m. the following day.
- Reuse of reclaimed water shall not be restricted.
- Utility
- Water line flushing and disinfection shall be limited to minimum requirements.
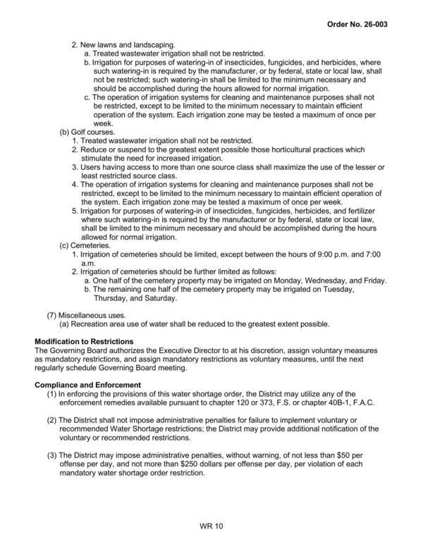
Below are images of the rest of the Order and of the Agenda.
-jsq, John S. Quarterman, Suwannee RIVERKEEPER®
You can help with clean, swimmable, fishable, drinkable, water in the 10,000-square-mile Suwannee River Basin in Florida and Georgia by becoming a WWALS member today!
https://wwals.net/donations/
AG-2026-04-14
Agenda, 2026-04-14, SRWMD Governing Board; 10. Public Hearing for Approval of Order Number 26-003, Modified Phase II Water
PDF
BCS Page 39 8. Permitting Summary Report
PDF
Any member of the public who desires to address the Board at a Board Meeting must….
PDF
supporting materials and written statement in advance
PDF
PH
RE: Public Hearing for Approval of Order Number 26-003, Modified Phase II Water Shortage
PDF
The issuance of a Modified Phase II Water Shortage Order would apply to all counties within the District and unincorporated portions of Alachua and Levy counties, consistent with existing memoranda of understanding with neighboring Districts.
PDF
MODIFIED PHASE II WATER SHORTAGE ORDER
PDF
8. Drought indicators are summarized as follows:
PDF
20. This Order shall remain in effect until July 31, 2026, unless otherwise modified, revoked, or rescinded by the Governing Board or the Executive Director as delegated by the Governing Board.
PDF
ATTACHMENT: MODIFIED PHASE II WATER SHORTAGE RESTRICTIONS
PDF
Compliance and Enforcement
PDF
USD
Table: U.S. Southeast, 2026-04-07 –U.S. Drought Monitor
Short Link:

![[ORDERED]](https://www.wwals.net/pictures/2026-04-14--srwmd-board/April-2026-Board-Package_Final-0015.jpg)
![[Additional Measures:]](https://www.wwals.net/pictures/2026-04-14--srwmd-board/April-2026-Board-Package_Final-0018.jpg)
![[Page 19]](https://www.wwals.net/pictures/2026-04-14--srwmd-board/April-2026-Board-Package_Final-0019.jpg)
Pingback: Packet: Governing Board –SJRWMD 2026-04-14 | WWALS Watershed Coalition (WWALS) is Suwannee RIVERKEEPER®
Pingback: Stagger SRWMD and SJRWMD Board meetings –Merrillee Malwitz-Jipson 2027-01-17 | WWALS Watershed Coalition (WWALS) is Suwannee RIVERKEEPER®
Pingback: The promoters bear the burden of proof about WFNF –WWALS to SRWMD 2026-04-13 | WWALS Watershed Coalition (WWALS) is Suwannee RIVERKEEPER®